Education Assessment Plan Example

Yours in training archive. Assessment tools are supported by detailed lesson plans competencyunit information delivery plan assessment plan checklistsmarking guide and competency record sheet and competencyunit mapping all contained in a trainers guide and a learners guide.
Free 7 Assessment Plan Examples Samples In Pdf Doc Examples

This is used to communicate how an individual organization program or work product will be assessed to set expectations and provide transparencythe following are illustrative examples of an assessment plan.


Education assessment plan example. They provide crucial information about what students understand and what they don't. College of arts sciences department. Supporting resources readings are provided where available.

This usually is just answerable by yes or no or any which way of questioning that only has one correct answer like multiple choice questions or matching questions. Continuing education assessment forms are used for those who wish to continue their studies after having. An assessment plan is a document that captures the structure of a future evaluation.

Oba outcomes based assessment obe outcomes based education pgp personal growth plan poe portfolio of evidence rpl recognition of prior learning sace south african council of educators saqa south african qualifications authority sauvca south african university vice chancellors association sdt staff development team. Subscribe to our yours in training free monthly ezine to stay up to date with whats happening at mrwed along with industry related updates including free training games and information on emerging technology to support the delivery of training. Patient education assessment forms are used to check on the patients education.

Innovative formative assessment examples are part of what defines any modern classroom. Types of education assessment. This strategic evaluation plan is based on the assessment done on the five years planning on the efforts to control asthma in the city of montana so that similar measures can be taken up to help people with the same disease.

An overview of assessment plans for education with examples. These ungraded assessments are also valuable guides for students. In education assessment plans are typically used to assess the free outline of the desired outcomes of a students learning process including the measures done to attain such outcomes the time period for the process and individuals involved in such process.

An example would be if the patient is literate or not. Student education assessment forms are to check on the status of the education of current students. 4 example masters program outcomes assessment plan last updated.

Ma in folklore contact person mission founded with an eye to regional study and deeply integrated with the universitys long standing focus on the south the mission of the ma in folklore is to maintain uncs. Purpose of an assessment plan. Teachers can use them to determine if further instruction is.
It can help them enhance their performance.
Free 7 Sample Assessment Plan Templates In Pdf
Free 9 Sample Assessment Plan Templates In Pdf
Free 9 Sample Education Assessment Forms In Pdf Ms Word
Assessment Plan Template
Assessment Plan Sample
Pdf Multi Direct Methods For Better Program Improvement The
View All Resources Assessment Commons
Appendix D Sample Lesson Plan Template
Sample Plan Applying The Assessment Framework To International
Student Learning Outcomes Assessment Sloa Yavapai College
Eed Lesson Plan Template
Simple Pdf Physical Education Lesson Plan Template Physical
Common Core Lesson Plan Template With Danielson Framework For
Free Lesson Plan Templates 20 Word Pdf Format Download All
Edu 6160 Lesson Plan And Survey Of Assessment Methods Caitlin S
6 Alternatives To Bloom S Taxonomy For Teachers Lesson Plan
Assessment Physical Education
Cornell College Departmental Program Assessment Plan
Free 32 Nursing Assessment Examples In Pdf Doc Examples
Lesson Plan Template For Arts Art Assessment Kindergarten
Assessment Technology Moving With Math Rti Math Leader C R A
Assessment Plan Guidelines
Assessment Plan Ece 430 Early Childhood Education Capstone
Https Encrypted Tbn0 Gstatic Com Images Q Tbn 3aand9gcquxpgul44znynufjli 1ycspzygein35kuad2whku Usqp Cau
Counseling Intake Assessment Form Elegant Interview Assessment
Assessment 3 Learning Plan Template Bush Tucker Foods
39 Best Unit Plan Templates Word Pdf ᐅ Templatelab
Student Assessment Catherine L Smrekar
Reggio Emilia Lesson Plan Example E Learning Lesson Plan Template
Principal Investigator S Guide Chapter 5 Planning For Success
Ontario Schools Kindergarten To Grade 12 Policy And Program
Ubd Template With Guiding Questions Lesson Plan Templates
Needs Assessment And Program Planning
Assessment 2 National 4 5 Physical Education Example Fip
Edtpa Lesson Plan Template Lesson Plan Templates Preschool
Learning Assessment Institutional Research Analysis Planning
Planning Pen Green Children S Centre
Free 36 Needs Assessment Examples In Pdf Doc Examples
Ontario Schools Kindergarten To Grade 12 Policy And Program
Components Of Student Learning Assessment Niloa
Sample Lesson Plan Formats For Collaboration Collaborative Teaching
Https Www Unthsc Edu Academic Affairs Wp Content Uploads Sites 22 Hoey Defining Assessing And Documenting Student Learning 1 Pdf
Distance Education Assessment Plan
Learning Approaches For Special Needs Special Needs In Education
Individual Education Plan Blank Edit Fill Sign Online Handypdf
Lesson Plan Template Educational Assessment Lesson Plan
Ontario Schools Kindergarten To Grade 12 Policy And Program
Seis Iep Changes Compliance Ppt Video Online Download
Https Encrypted Tbn0 Gstatic Com Images Q Tbn 3aand9gcsraxqboaptjmiti06ckxtktz2nq5iod6ododwqz6uqxephxq0g Usqp Cau
Analyze Educational Goals
Ehc Plans In Bexley Bexley Voice
Http Lausd Schoolwires Net Cms Lib08 Ca01000043 Centricity Domain 361 Compliance Special Education Iep Timelines Pdf
Ontario Schools Kindergarten To Grade 12 Policy And Program
Litr 3130 Edtpa Integration With Writing Lesson Plan Assignment
Free 16 Preschool Assessment Examples Templates Examples
Functional Behavior Assessment Trend Bloguez Com Behavior
Action Plan Template 4 Curriculum Educational Assessment
Accreditation And Assessment At Rfums Rosalind Franklin University
On Ongoing Or Regular Basis Gmc
Alberta Education Long Range Plan Templates Black And White Pdf
Initiating An Assessment Plan For A Research University Assignment
Lesson Plan Format Ii Assessment
Voy5kglodsd4gm
Practice Gap And Educational Needs Assessment Samples Continuing
Sloa Annual Assessment Plan Template
A Guide To Developing And Assessing Learning Outcomes Natasha
Lesson Plan And Evaluation Observation 1 Pgce Module Studocu
Unit Assessment Plan Assignment Educational Assessment Vocabulary
Picture Behavior Plans Behavior Intervention Plan Behavior
Pdf Institutional Assessment Plans And Rubrics For Establishing
Let S Make A Portfolio Teaching Portfolio Clinton Middle School
Physical Education Unit Plan Sample
Administration Of Training And Development In The Ministry Of Thesis
Https Encrypted Tbn0 Gstatic Com Images Q Tbn 3aand9gctrl3q38lhmh40h203cetns48uwg5zz1w9dzsvq1jrma5v4qg2r Usqp Cau
How To Write An Individual Education Plan
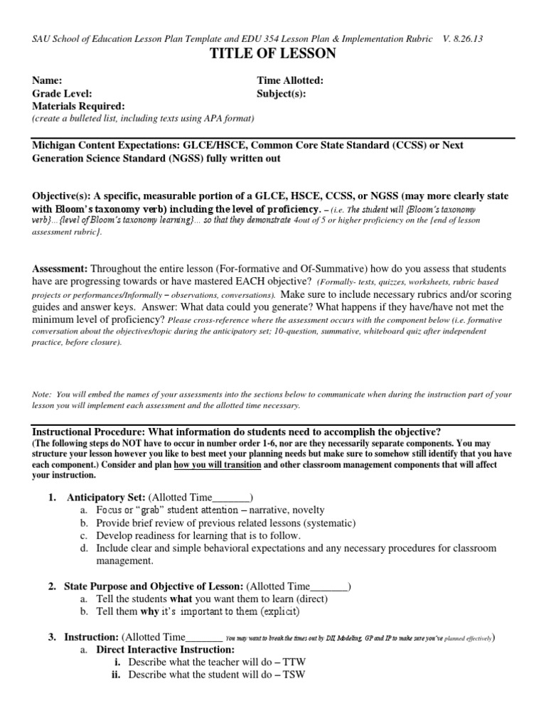
Sau Soe Lesson Plan Template Educational Assessment Lesson Plan
The Difference Between Assessment Of Learning And Assessment For
What To Include When Writing A Logic Model For An Educational
Unit Plan Template Physical Education By Rebekah The Health And
Talking Mats The Ideal Resource To Help You With Your Ehc Needs
Pdf The Reliability And Validity Of A Matrix To Assess The
Individual Education Plan Iep Educate Autism
Leveling The Playing Field Sharing Learning Targets And Criteria
Teacher Work Sample James Madison University
6 Lesson Plan Examples For Elementary School Classcraft Blog
Pin On Sp Ed Supports
Strategic Improvement Plan Template
Program Assessment Plan Template Skidmore College
Program Of Study Learnalberta Ca
Ontario Schools Kindergarten To Grade 12 Policy And Program
Free Business Continuity Plan Templates Smartsheet
Instructional Plan Template Slide 1 Aet 515 Instructional Plan
39 Best Unit Plan Templates Word Pdf ᐅ Templatelab
Individual Education Plan Download Edit Edit Fill Sign Online
The Importance Of Assessment In Education Video Lesson
Writing Student Learning Outcomes Student Learning Assessment
Quality Assurance For Schools
Tips For Designing An Online Learning Experience Using The 5 Es
Https Encrypted Tbn0 Gstatic Com Images Q Tbn 3aand9gcscxes4ldh0hako6tdvd60lb6frzwohl 2bjsi0s B Ks6knljd Usqp Cau
Archived Guide To The Individualized Education Program
Cas
What Is An Educational Plan Ni Scotens Teacher Education Ireland
Musicianship Lesson Plan Educational Assessment Pedagogy

Most Popular Reading

Incredible Introduction To Citizenship Education References

Incredible Introduction To Citizenship Education References . The purpose of this literature review is to examine the academic and polic...

Trending This Week